Fotosinteze može biti bez hloroplasta, ali ne može bez hlorofila. Međutim, šta je tačno taj hlorofil, za koji znamo samo da je pigment koji biljkama daje zelene u boju?
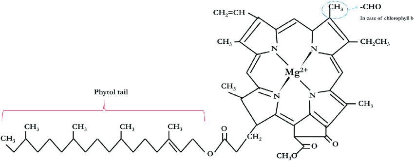
Kao prvo, to nije hlorofil, već su u pitanju hlorofili. Postoje hlorofil a,b,c1, c2, d i f. Oni se razlikuju u nijansama, ali svima je zajedničko da u centru imaju jedan atom magnezijuma. Zapravo, hlorofil je bio prva tvar u živim organizmima u kojoj je dokazan magnezijum (1906.).
Hlorofil a ima molekularnu formulu C55H72O5N4Mg, dok mu strukturna izgleda ovako:

https://www.researchgate.net/figure/The-chemical-structure-of-typical-chlorophyll-molecule-Chlorophyll-a-contains-methyl_fig2_347762102
E, sad, hlorofil reaguje na svjetlost, tačnije na fotone. Kako ne bih previše komplicirala, uzeću za primjer hlorofil a. Hlorofil a absorbuje ljubičastu, plavu i crvenu cvjetlost, a reflektuje zelenu. U stvari, bolje je reći ne da reflektira, nego samo manje apsorbira zelenu.
Zato su listovi zelene boje – jer jedino zelena svjetlost iz vidljivog spektra nije absorbovana. Dakle hlorofil a “radi” na plavoj i crvenoj svjetlosti, s tim da mu je pik absorbcije u crvenom dijelu spektra, na nekih 680 nm. Hlorofil b ima taj maksimum absorbcije u plavom dijelu spektra:
![]() |
| maksimumi absorbcije za hlorofil a i hlorofil b, izvor:Wikimedia commons by M0tty |
A sad speTakl.
Kada foton određene energije (a energija fotona ovisi o frekvenciji, tj. kojem dijelu elektromagnetnog/EM spektra pripada) pogodi molekulu hlorofila, elektron iz molekule hlorofila biva ekscitiran. Hlorofili su veoma efektivni fotoreceptori jer kompleksna molekula-mreža atoma može lako mijenjati dvostruke u jednostruke veze i obratno, fleksibilna je u tom pogledu. Mijenjanje veza između atoma zapravo znači jedno – primanje ili otpuštanje elektrona tj. redukciju ili oksidaciju, što sam objašnjavala u prošlom postu. Hlorofil je redukovana molekula. Onog trenutka kada redukovani hlorofil “pogodi” foton odgovarajuće valne duljinu ( za hlorofil a optimalna valna duljina fotona je 680nm), elektron koji pripada molekuli hlorofil se ekscitira, što znači da “odskoči” na viši energetski nivo, u višu orbitalu. Jer, za svaki viši nivo u atomu i elektron mora imati višu energiju. Ovdje nam treba Plankova konstanta i malo formula:
E-energija foton koja je upravo proporcionalna umnošku Plankove konstante h i frekvencije fotona. Što je frekvencija veća, to je i energija veća. Zato je su gama zraci i UV zraci jako štetni (imaju visoku frekvenciju) a radiotalasi ne (niska frekvencija). To se može izraziti i kao:
gdje je c-brzina svjetlosti, a lambda talasna dužina.
Evo kako izgleda EM spektar – lijevo su zračenja kod kojih fotoni imaju malu talasnu dužinu, visoku frekvenciju i energiju, a kako se ide prema desno, frekvencija se smanjuje, kao i energija, dok se talasna dužina povećava:
Eh, sad kada je taj ekscitirani elektron “odskočio” svašta može da se desi – može tu biti neki milidjelić sekunde i može dati svjetlost (flourescirati), a može se i samo vratiti odakle je odskočio i absorbovanu energiju emitovati kao toplinu.
Međutim, ako u blizini ekscitiranog elektrona postoji molekula koja ga može primiti, taj elektron jednostavno “promijeni mjesto stanovanja” i pređe na tu drugu molekulu. Dakle, molekula hlorofila gubi elektron, ona se oksiduje, dok neka druga molekula (vidjećemo koja) prima elektron i tako se redukuje. Za ovo stvarno treba napraviti crtani.
Zamislite da sjedite uz vatru i morate uzeti vreo žar iz vatre. Kako ćete to uraditi? Hoćete li ga uzeti golom rukom ili ćete se pomoći nečim – debelim rukavicama, mašicama da ga uzmete? Ako morate žar spustiti na dlan, čekaće te da se malo ohladi.




