John Nash Jr., matematičar i tvorac mnogih modernih matematičkih modela rođen je 13. juna 1928. godine u Bluefieldu, Zapadna Virginia. Jedini je matematičar koji je uspio dobiti i Nobelovu nagradu iz polja ekonomije i Abelovu nagradu, među najprestižnijim matematičkim nagradama.
Život
John Forbes Nash Jr je bio donekle tipično dijete iz srednje klase. Roditelji su mu bili obrazovani i poštovani građani. Otac mu je bio elektroinženjer, a majka domaćica, ali izuzetno širokih shvatanja. Odrastao je u Bluefieldu, protestantskom rudarskom gradiću u Zapadnoj Virdžniji, koji je, dok je John odrastao, počeo privlačiti inžinjere svih profila.
Za znatiželjan um poput Nashovog, to nije bilo pretjerano zanimljivo te je kasnije sa snishodljivošću posmatrao svoj rodni kraj, mada se ne može poreći da je to ipak bilo stimulativno okruženje. U djetinjstvu nije važio za genijalno dijete, nego povučeno, nabusito i vječito okruženo knjigama. Škola mu je bila dosadna, nestimulativna, te su ga učitelji često opominjali, ali njegova majka je u njegovim sanjarenjima prepoznala crte ličnosti veoma talentovanog dječaka i podržavala ga je do svoje smrti.
Ono što je iniciralo njegovo zanimanje za matematiku je bila zbirka biografija slavnih matematičara „Men of Mathematics“ Erica Templea Bella, koja je živopisno obradila ličnosti slavnih matematičara te probleme s kojima su se susretali. Sam je kao dijete vršio eksperimente, prežičavao električna kola i bio zadubljen u iščitavanje knjiga iz nauke.
Nash se isprva nije odlučio za zanimanje matematičara te je upisao hemiju na Sveučilištu Carnegie, ali ubrzo je laboratoriju zamijenio Diofantovim jednačinama. Izjavio je da su profesori u Pittsburghu bili više zainteresovani za nečije rukovanje pipetom nego načinom razmišljanja. Na Carnegieju je odbranio diplomski i magistarski rad iz matematike, a potom prešao na doktorske studije na Princetonu, a dobio je i pismo preporuke od Roberta Griffina, gdje je Griffin kratko naveo da se radi o „matematičkom geniju“.
![]() |
John Nash će kasnije, donekle opravdano, kriviti stres uzrokovan podučavanjem na MIT-u za nastup njegove duševne bolesti. Danas možemo spekulisati da je podsvjesni strah od mogućnosti da izgubi autonomiju nad sobom u vojsci poslužio kao okidač njegove shizofrenije.
Njegov najpoznatiji rad, za koji je primio Nobelovu nagradu za ekonomiju, je značajan po tome što je promijenio paradigmu u mnogim poljima, prvenstveno u ratovanju. Dotadašnja politička strategija, pogotovo u jeku razvoja nuklearne moći, bazirala se na teoriji nulte sume, odnosno bilo je nezamislivo da postoji mogućnost da obje sukobljene strane priskrbe optimalnu korist iz nastale situacije. Za razliku od Adama Smitha, Nash je pokazao da ekvilibriji postoje, te da ekonomija ne bi smjela biti „igra nulte sume“. Odnosno, primjenjujući Nashov ekvilibrij u svakodnevnim problemima, izbjegli bismo dugotrajne sukobe počevši od najprizemnijih problema.
Ideje su mu dolazile u „bljeskovima“, gdje bi mu se prvo ukazalo rješenje a potom bi čak i godinama razvijao matematički put do tog uvida. To nije bilo neuobičajeno za velike umove, te su i Riemann, Poincare te Wiener također imali istu osobinu.
Nashov ekvilibrij: strategem Hladnog rata
Nash je na problemima teorije igara sa n sudionika i u momentu kada mu je došla ideja za tezu za koju je dobio Nobelovu nagradu, tj. Nashov ekvilibrij/ekvilibrijum, došao je do teme za novi rad na temu problema mnogostrukosti, tj apstraktnim topološkim prostorima, iz domena neeuklidske geometrije. Nash je algebarski dokazao da svaki takav prostor mnogostrukosti može biti iskazan algebarskom jednačinom, što se i danas smatra revolucionarnim matematičkim podvigom. Iako to nije bio njegov najjači rad, lansirao ga je u sami vrh „čistih matematičara“. Jedan od njegovih kolega je rekao da je Nash često koristio mentalne slike kao alat u postuliranju rješenja i da je to vjerovatno njegov najjači adut. Ono što ga je izdvajalo od ostalih je bila njegova sposobnost da kompleksne probleme svede na nešto jednostavno i opipljivo.
John Nash opisuje ishod u kojem jedan sudionik ne može odstupiti od vlastite strategije postizanja povoljnijeg rezultata. U osnovi, ekvilibrij je njihov najbolji odgovor na strategiju svakog drugog aktera. Suštinski, ovaj ekvilibrij potpada pod domen teorije igara, oblasti primijenjene matematike koja se bavi modelima međusobnog uticaja i odnosa formalnih impulsivnih struktura, koje zovemo “igre”, a neko bi možda rekao i strategemovi.
![]() |
Iako je koncept takvog ishoda naizgled očigledan, i vjerovatno je većina nas bila nekad, i ne znajući bila u situaciji Nashovog ekvilibrijuma, Nashov ekvilibrij je izravno oblikovao američku i sovjetsku strategiju hladnog rata. S obje zemlje u nuklearnom suprotstavljanju tokom cijelog tog razdoblja, Henry Kissinger, Robert McNamara i drugi čelnici koristili su Nashov koncept kako bi opravdali svoju odluku da ne pokrenu početni nuklearni udar jer će nakon ove akcije uslijediti odmazda, zbog koje bi došlo do uništenja praktično cijelog čovječanstva. Odstupanje od početne strategije nenapadanja bilo bi negativno za oba protivnika.
Postoji i suprotno rješenje Nashovog ekvilibrijuma: dok je u hladnom ratu rješenje bilo međusobno nenapadanje, postoje strategemovi u kojima ravnotežu stvara međusobno napadanje. Takav slučaj je “dilema zatvorenika”:
![]() |
| Izvor: Stratfor, 2015. |
![]() |
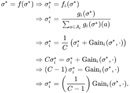
| Nashov ekvilibrij, matematički iskazan |
Borba sa tamnom stranom
![]() |
| Nash sa suprugom Aliciom |
No, koristeći svoj ispolirani racionalni um, polako ali sigurno se počeo oporavljati i do kraja života je ostao lucidan. U tome mu je umnogome pomogla bivša supruga, pomažući ga finansijski, psihološki i jednostavno svojim prisustvom. Ponovo se oženio Aliciom 2011. pod stare dane, i ostao s njom do njihove zajedničke pogibije u automobilskoj nesreći 2015. godine u New Jerseyu, vraćajući se sa dodjele jednog od najvećih matematičkih priznanja, Abelove nagrade.
![]() |
| Russell Crowe kao John Nash u filmu “Blistavi um” |
Ovaj tekst nastao je uz podršku Ambasade Sjedinjenih Američkih Država u BiH u okviru projekta “U.S. Scientists Who Changed the World” i zahvaljujemo se Ambasadi SAD.










